Menu Close

Newton’s Laws of Motion – Knowledge for Personal Trainers and Coaches

Newton’s Laws of Motion

Newton's Laws of Motion

Newton’s First Law of Motion: Law of Inertia

Corpus omne perseverare in statu suo quiescendi vel movendi uniformiter in directum, nisi quatenus a viribus impressis cogitur statum illum mutare.

This is Newton’s first law of motion in Latin as originally presented in Principia. It is commonly referred to as the law of inertia. Translated directly, this law states,

“Every body continues in its state of rest, or of uniform motion in a straight line, unless it is compelled to change that state by forces impressed upon it” (Newton 1686/1934, p. 13).

One must also take into consideration what the term “inertia” is.  Inertia is nothing more than an object’s “resistance to change.”

This law explains what happens to an object if no external forces act on it or if the net external force (the resultant of all the external forces acting on it) is zero. More simply stated, Newton’s first law says that if no net external force acts on an object, that object will not move (it will remain in its state of rest) if it wasn’t moving to begin with, or it will continue moving at constant speed in a straight line (it will remain in its state of uniform motion in a straight line) if it was already moving. If no net external force acts on an object, that object will not move if it wasn’t moving to begin with, or it will continue moving at constant speed in a straight line if it was already moving.

How does Newton’s first law of motion apply to human movement in sports or activities of daily living? Can you think of any situations in which no external forces act on an object? This is difficult. Gravity is an external force that acts on all objects close to the earth. Apparently, there are no situations in sports and human movement to which Newton’s first law of motion applies.  Is this true? Perhaps we can find applications of Newton’s first law in sport if we consider only motions of an object or body in a specific direction.

Newton’s first law of motion also applies if external forces do act on an object, so long as the sum of those forces is zero. So, an object may continue its motion in a straight line or continue in its state of rest if the net external force acting on the object is zero. Static equilibrium—the sum of all the external forces acting on an object is zero if the object is in static equilibrium. Newton’s first law of motion is the basis for static equilibrium.

This law also extends to moving objects, however. If an object is moving at constant velocity in a straight line, then the sum of all the external forces acting on the object is zero. Newton’s first law of motion basically says that if the net external force acting on an object is zero, then there will be no change in motion of the object. If it is already moving, it will continue to move (in a straight line at constant velocity). If it is at rest, it will stay at rest (not move). Newton’s first law can be expressed mathematically as follows:

v = constant   or ΣF = 0

or

ΣF = 0 if v = constant

where

v = instantaneous velocity and ΣF = net force.

Since Newton’s first law also applies to components of motion, the previous equations can be represented by equations for the three dimensions (vertical, horizontal— forward and backward; and horizontal—side to side):

vx = constant      if ΣFx = 0

ΣFx = 0    if vx = constant

 

vy = constant       if ΣFy = 0

ΣFy = 0               if vy = constant    

  

vz = constant       if ΣFz = 0

ΣFz = 0               if vz = constant

This is covered since most ground-based human movement (movement performed while on the feet) is three dimensional (all three planes of motion).  The primary movement may in one primary plane but that movement may be stabilizing in the other planes concurrently.

With Newton’s first law of motion covered, an example is necessary to solidify this law. If a lifter is barbell squatting with 40 kg., how large a force must you exert on the barbell at the bottom position of the squat to hold it still? What external forces act on the barbell? Vertically, gravity exerts a force downward equal to the weight of the barbell, 40 kg.  The lifter’s body exerts a reaction force upward against the barbell. According to Newton’s first law, an object will stay at rest only if there are no external forces acting on the object or if the net external force acting on the object is zero. Since the barbell is at rest (not moving), the net external force acting on it must be zero. The diagram below shows a free-body diagram of the lifter (frontal and lateral views). The two external forces acting on the barbell are both vertical forces, the force of gravity acting downward and the reaction force from your hand acting upward.

Since the barbell is not moving (v = constant = 0), we can use the following equation to solve for the reaction force from your hand. ΣFy = 0 ΣFy = R + (−W) = 0 R = W = 40 kg where R = the reaction force from your hand, and W = the weight of the barbell = 40 kg. (2.5) When a lifter is holding the 40 kg barbell still, the force the lifter must exert against it is 40 kg upward. The problem was solved with upward considered the positive direction. Since the answer calculated was a positive number, it represented an upward force..

If the lifter begins lifting the barbell, and during the lift it moves at a constant velocity upward, how large a force must she exert against the barbell to keep it moving upward at constant velocity? What does it feel like compared to the force required to hold the barbell in a static position? Remember, the goal here is tog to find the force one exerts when the barbell is moving upward at constant velocity, not when it starts upward. What external forces act on the barbell?

Vertically, gravity still exerts a force downward equal to the weight of the barbell (40 kg), and the lifter still exerts a reaction force upward against the barbell. According to Newton’s first law, an object will move at constant velocity in a straight line only if there are no external forces acting on the object or if the net external force acting on the object is zero. Since the barbell is moving at a constant velocity in a straight line, the net external force acting on it must be zero. The two external forces on the barbell are exactly the same as when the barbell was still: the force of gravity acting downward and the reaction force from the body acting upward. Since the numbers are the same, the same reaction force of 40 kg upward. When one is moving the 40 kg barbell upward at a constant velocity, the force the lifter must exert against the barbell to keep it moving upward at a constant velocity is a 40 kg upward force. When the lifter is holding the barbell still, the force exerted on it is a 40 kg upward force. If she moves the barbell downward at constant velocity, the force she exerts on it would still be a 40 kg upward force.

Newton’s first law of motion may be interpreted in several ways:

  1. If an object is at rest and the net external force acting on it is zero, the object must remain at rest.
  2. If an object is in motion and the net external force acting on it is zero, the object must continue moving at constant velocity in a straight line.
  3. If an object is at rest, the net external force acting on it must be zero.
  4. If an object is in motion at constant velocity in a straight line, the net external force acting on it must be zero.

Newton’s first law of motion applies to the resultant motion of an object and to the components of this resultant motion. Because forces and velocities are vectors, Newton’s first law can be applied to any direction of motion. If no external forces act, or if the components of the external forces acting in the specified direction sum to zero, there is no motion of the object in that direction or the velocity in that direction is constant.

Newton’s Second Law of Motion: Law of Acceleration

Mutationem motis proportionalem esse vi motrici impressae, et fieri secundum lineam rectam qua vis illa imprimitur. 

This is Newton’s second law of motion in Latin as originally presented in Principia. It is commonly referred to as the law of acceleration. Translated directly, this law states:

“The change of motion of an object is proportional to the force impressed, and is made in the direction of the straight line in which the force is impressed” (Newton 1686/1934, p. 13).

This law explains what happens if a net external force acts on an object.  Newton’s second law says that if a net external force is exerted on an object, the object will accelerate in the direction of the net external force, and its acceleration will be directly proportional to the net external force and inversely proportional to its mass. This can be stated mathematically as

➲ΣF = ma

where

ΣF = net external force, m = mass of the object, and  a = instantaneous acceleration of the object.

This is another vector equation, since force and acceleration are vectors. Newton’s second law thus applies to the components of force and acceleration. The above equation can be represented by equations for the three dimensions (vertical, horizontal—forward and backward, and horizontal—side to side).

ΣFx = max  

ΣFy = may

ΣFz = maz

Newton’s second law expresses a cause-and-effect relationship. Forces cause acceleration. Acceleration is the effect of forces. If a net external force acts on an object, the object accelerates. If an object accelerates, a net external force must be acting to cause the acceleration. Newton’s first law of motion is really just a special case of Newton’s second law of motion—when the net force acting on an object is zero, its acceleration is also zero.

Going back to the squat movement, the external forces acting on the barbell are the pull of gravity acting downward and the reaction force from the lifter’s body acting upward. The net force is thus the difference between these two forces. When does the lift feel most difficult? When does it feel easier? To start the lift, one must accelerate the barbell upward, so the net force acting on the barbell must be upward. The force you exert on the dumbbell must be larger than 40 kg. Once the lifter has accelerated the barbell upward, to continue moving it upward requires only that a net force of zero acts on the barbell, and the barbell will move at constant velocity. The force exerted on the barbell must just equal 40 kg. As one completes the lift, the lifter needs to slow down the upward movement of the barbell, so the net force acting on the barbell is downward. The force exerted on the barbell must be less than 40 kg. When the barbell is at a complete stop (finish position of the squat movement), it is no longer moving, so the net force acting on the barbell is zero. The force exerted on the barbell must be equal to 40 kg.

Any time an object starts, stops, speeds up, slows down, or changes direction, it is accelerating and a net external force is acting to cause this acceleration.

Impulse and Momentum

Mathematically, Newton’s second law is expressed by the equation:

ΣF = ma

This tells what happens only at an instant in time. The acceleration caused by the net force is an instantaneous acceleration. This is the acceleration experienced by the body or object at the instant the net force acts. This instantaneous acceleration will change if the net force changes. Except for gravity, most external forces that contribute to a net external force change with time. So the acceleration of an object subjected to these forces also changes with time.

In sports and human movement, we are often more concerned with the final outcome resulting from external forces acting on an athlete or object over some duration of time than with the instantaneous acceleration of the athlete or object at some instant during the force application. We want to know how fast the ball was going after the pitcher exerted forces on it during the pitching actions. Newton’s second law can be used to determine this. Looking at equation ΣF = ma slightly differently, we can consider what average acceleration is caused by an average net force:

where ΣF– = average net force and a = average acceleration

Because average acceleration is the change in velocity over time

Equation ΣF = ma becomes

This is the impulse-momentum relationship. Impulse is the product of force and the time during which the force acts. If the force is not constant, the impulse is the average force times the duration of the average force. The impulse produced by a net force acting over some duration of time causes a change in the momentum of the object upon which the net force acts. To change the momentum of an object, either its mass or its velocity must change. In sports and human movement, most objects we deal with have a constant mass. A change in momentum thus implies a change in velocity. When Newton started his second law of motion, he really meant momentum when he said motion. The change in momentum of an object is proportional to the force impressed. The impulse-momentum relationship described mathematically is actually just another way of interpreting Newton’s second law. This interpretation may be more useful to us in studying human movement. The average net force acting over some interval of time will cause a change in the momentum of an object. We can interpret change in momentum to mean change in velocity because most objects have constant mass. If we want to change the velocity of an object, we can produce a larger change in velocity by having a larger average net force act on the object or by increasing the time during which the net force acts.

  The average net force acting over some interval of time will cause a change in the momentum of an object.

Using Impulse to Increase Momentum

The task in many sports skills is to cause a large change in the velocity of something. In throwing events, the ball (or shot, discus, javelin, or Frisbee) has no velocity at the beginning of the throw, and the task is to give it a fast velocity by the end of the throw. We want to increase its momentum. Similarly, in striking events, the racket (or bat, fist, club, or stick) has no velocity at the beginning of the swing (or stroke or punch), and the task is to give the implement a fast velocity just before its impact. Our bodies may be the objects whose momentum we want to increase in jumping events and other activities. In all of these activities, the techniques used may be explained in part by the impulse-momentum relationship. A large change in velocity is produced by a large average net force acting over a long time interval. Because there are limits on the forces humans are capable of producing, many sports techniques involve increasing the duration of the force application.

Two other examples of using an impulse to accelerate an object and change its momentum are Weightlifting and Powerlifting.  Those familiar with Weightlifting (Snatch, Clean, and Jerk) know these two movements are fast in nature. The beginning movement in both Weightlifting movements (called the first pull) is performed at a moderate speed.  At the end of the 1st pull, the lifter performs the transitional phase/movement or “scoop” putting them into the beginning of the 2nd pull much like the transition from down to up in a jumping action.  The 2nd pull begins with very high impulse (high force production over a period of time) to accelerate the barbell.  This acceleration increases the barbell’s momentum and its upward movement.

In Powerlifting the loads (weights) are substantially increased, but the lifter attempts to move the load as fast as possible after the downward phase then changing direction to the upward (ascent) phase of the lift.  The lifter uses the impulse-momentum principle to move the weight upward quickly to increase the barbell’s momentum. This principle is utilized extensively in the squat and bench press movements.

Using Impulse to Decrease Momentum

In certain other activities, an object may have a fast initial velocity and we want to decrease this velocity to a slow or zero final velocity. We want to decrease its momentum. Can you think of any situations like this? What about landing from a jump? Catching a ball? Being struck by a punch? Does the impulse-momentum relationship apply in an analysis of these situations? A good example is landing from a jump.  Upon landing, one flexes the ankles, knees, and hips. This increased the impact time—the time it took to slow one down. This increased Δt in the impulse-momentum equation and thus decreased the average impact force, ΣF–, since the change in momentum, m(vf − vi), would be the same whether one flexed their legs or not.

Newton’s Third Law of Motion: Law of action/reaction

Actioni contrariam semper et aequalem esse reactionem: sive corporum duorum actiones in se mutuo semper esse aequales et in partes contrarias dirigi.

This is Newton’s third law of motion in Latin as presented in Principia. It is commonly referred to as the law of action-reaction. Translated directly, this law states:

“To every action, there is always opposed an equal reaction: or the mutual actions of two bodies upon each other are always equal and directed to contrary parts.”

Newton used the words action and reaction to mean force. The term reaction force refers to the force that one object exerts on another. This law explains the origin of the external forces required to change motion. More simply stated, Newton’s third law says that if an object (A) exerts a force on another object (B), the other object (B) exerts the same force on the first object (A) but in the opposite direction. So forces exist in mirrored pairs. The effects of these forces are not canceled by each other because they act on different objects. Another important point is that it is the forces that are equal but opposite, not the effects of the forces. Let’s try self-experiment 3.11 for a better understanding of this law.

    If an object exerts a force on another object, the other object exerts the same force on the first object but in the opposite direction.

Newton’s Law of Universal Gravitation

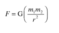
Newton’s law of universal gravitation gives readers a better explanation of weight. This law was purportedly inspired by the fall of an apple on his family’s farm in Lincolnshire while he was residing there during the plague years. He presented this law in two parts. First, he stated that all objects attract each other with a gravitational force that is inversely proportional to the square of the distance between the objects. Second, he stated Figure 3.8 The alleged inspiration for Newton’s law of universal gravitation. that this force of gravity was proportional to the mass of each of the two bodies being attracted to each other. The universal law of gravitation can be represented mathematically as

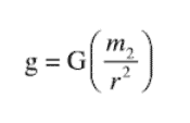
where F is the force of gravity, G is the universal constant of gravitation, m1 and m2 are the masses of the two objects involved, and r is the distance between the centers of mass of the two objects. Newton’s universal law of gravitation was momentous because it provided a description of the forces that act between each object in the universe and every other object in the universe. This law, when used with his laws of motion, predicted the motion of planets and stars. The gravitational forces between most of the objects in sport are very small—so small that we can ignore them. However, one object that we must be concerned with in sport is large enough that it does produce a substantial gravitational force on other objects. That object is the earth. The earth’s gravitational force acting on an object is the object’s weight. For an object close to the earth’s surface, several of the terms in the equation are constant. These terms are G, the universal constant of gravitation; m2, the mass of the earth; and r, the distance from the center of the earth to its surface. If we introduce a new constant

Then equation

 

becomes

where W is the force of the earth’s gravity acting on the object, or the weight of the object; m is the mass of the object; and g is the acceleration of the object caused by the earth’s gravitational force.